颜料黄97
Pigment Yellow 97 is a bright, durable yellow pigment commonly used in coatings, inks, plastics, and paints. Known for its excellent lightfastness, weather resistance, and non-toxic properties, it offers vibrant color with high opacity. This pigment provides superior color strength and is often chosen for applications requiring consistent, high-quality yellow hues. It’s widely used in industrial sectors such as automotive, textiles, and packaging, offering a reliable and long-lasting color solution. Pigment Yellow 97 is valued for its versatility, environmental safety, and ability to maintain color integrity even under harsh conditions.
| 同义词 | CIP颜料黄97; CIPY97; PY97; PY97 |
| CI 编号 | 11767 |
| CAS号 | 12225-18-2 |
| 欧盟编号 | 235-427-3 |
| 分子式 | C26H27CINN4O8S |
| 化学家族 | 单偶氮 |
| 颜色 | ![]() |
| 色相分布 |
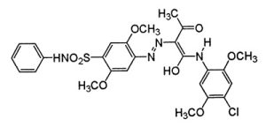
分子结构:

颜料黄97物理、化学及牢度性能
| 分子量 | 591.08 |
| 酸碱度 | 7.5 |
| 密度 | 1.5 |
| 吸油量(ml / 100g)% | 45 |
| 耐光性 | 7 |
| 耐热性 | 200(℃) |
| 耐水性 | 5 |
| 耐油性 | 4 |
| 耐酸性 | 5 |
| 耐碱性 | 5 |
应用
颜料黄 97 因其鲜艳的黄色而在各个行业得到广泛应用。一些常见的应用包括:
油漆和涂料:颜料黄 97 用于装饰和防护用途的油漆和涂料配方。它可以掺入水性或溶剂型涂料中以提供黄色色调。
印刷油墨:该颜料用于生产黄色印刷油墨,用于包装、出版物和其他印刷材料等应用。
塑料:颜料黄 97 常用于塑料着色,包括 PVC(聚氯乙烯)、聚烯烃和其他聚合物材料。它赋予塑料产品持久且稳定的黄色。
纺织品:在纺织工业中,这种颜料可用于织物染色,为纺织品和服装提供黄色。
喷墨墨水:颜料黄97可用于配制喷墨墨水,用于在各种基材上打印图像和文字。
艺术家颜色:艺术家和美术用品制造商可以在油画、丙烯酸树脂、水彩画和其他艺术媒介的生产中使用颜料黄 97。
其他应用:该颜料还可用于需要稳定且鲜艳的黄色的各种其他应用,例如化妆品、橡胶产品和特种涂料的着色。
相关信息
Pigment Yellow 97 is a hydroxyl-containing polycarboxylic acid that is used in the production of paints and plastics. It has an oxidation potential of +0.6 volts, which indicates that it is reactive. Pigment Yellow 97 has an absorption maximum at 526 nm and a molecular weight of 317.09 g/mol. The chemical structure of Pigment Yellow 97 consists of a molecule with a reactive carboxyl group and a reactive hydroxyl group, as well as an intramolecular hydrogen bond between the two groups. This pigment also forms coordination complexes with metals such as iron oxides to form particle pigments or mixtures with glycol esters to form solid particles or dispersions, respectively.
名称和标识符
IUPAC名称:N-(4-氯-2,5-二甲氧基苯基)-2-[[2,5-二甲氧基-4-(苯基氨磺酰基)苯基]二氮烯基]-3-氧代丁酰胺
InChI=1S/C26H27ClN4O8S/c1-15(32)25(26(33)28-18-12-20(36-2)17(27)11-21(18)37-3)30-29-19- 13-23(39-5)24(14-22(19)38-4)40(34,35)31-16-9-7-6-8-10-16/h6-14,25,31H, 1-5H3,(H,28,33)
InChIKey: WNWZKKBGFYKSGA-UHFFFAOYSA-N
规范微笑:CC(=O)C(C(=O)NC1=CC(=C(C=C1OC)Cl)OC)N=NC2=CC(=C(C=C2OC)S(=O)(= O)NC3=CC=CC=C3)OC
计算属性
| 物业名称 | 适当的价值 |
| 分子量 | 591.0 g/mol |
| XLogP3-AA | 4.6 |
| 氢键供体计数 | 2 |
| 氢键受体计数 | 11 |
| 可旋转键数 | 12 |
| 精确质量 | 590.1238127 Da |
| 单同位素质量 | 590.1238127 Da |
| 拓扑极表面积 | 162 Ų |
| 重原子数 | 40 |
| 正式收费 | 0 |
| 复杂 | 974 |
| 同位素原子计数 | 0 |
| 定义的原子立构中心计数 | 0 |
| 未定义的原子立构中心计数 | 1 |
| 定义的键立构中心数 | 0 |
| 未定义的键立构中心计数 | 0 |
| 共价键合单元数 | 1 |
| 化合物被规范化 | 是的 |











